lunes, 11 de mayo de 2015

Tipos de funciones

Función constante

Una función de la forma f(x) = b, donde b es una constante, se conoce como una función constante.
Por ejemplo, f(x) = 3, (que corresponde al valor de y) donde el dominio es el conjunto de los números reales y el recorrido es {3}, por tanto y = 3. La gráfica de abajo muestra que es una recta horizontal.
Monografias.com
Monografias.com

Función lineal

Una función de la forma f(x) = mx + b se conoce como una función lineal, donde m representa la pendiente y b representa el intercepto en y. La representación gráfica de una función lineal es una recta. Las funciones lineales son funciones polinómicas.
Ejemplo:
F(x) = 2x - 1
Es una función lineal con pendiente m = 2 e intercepto en y en (0, -1). Su gráfica es una recta ascendente.
Monografias.com
Monografias.com
Para trazar la gráfica de una función lineal solo es necesario conocer dos de sus puntos.
La ecuación matemática que representa a esta función, como ya vimos, es f(x) = ax + b, donde f(x) corresponde al valor de y, entonces
y = ax + b
Donde "a" es la pendiente de la recta, y "b" es la ordenada al origen.
La pendiente indica la inclinación de la recta, cuanto sube o baja y cuanto avanza o retrocede. Esto depende del signo que tenga.
Monografias.com
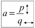
El valor de "a" siempre es una fracción (si no tiene nada abajo, es porque tiene un 1), donde el numerador (p) me indica cuanto sube o baja, y el denominador (q) indica cuanto avanzo o retrocedo.
Aprendido esto, y según el signo de la fracción, la pendiente se marca de la siguiente forma:
Monografias.com
La ordenada al origen (b) es el valor donde la recta corta al eje y.
La recta siempre va a pasar por el punto (0; b)
Representación gráfica de una función lineal o función afín
Para graficar una recta, alcanza con los datos que da la ecuación matemática de la función, y se opera de la siguiente manera:
  • 1. Se marca sobre el eje y la ordenada al origen, el punto por donde la recta va a cortar dicho eje.
  • 2. Desde ese punto, subo o bajo según sea el valor de "p" y avanzo o retrocedo según indique el valor de "q". En ese nuevo lugar, marco el segundo punto de la recta.
  • 3. Se podría seguir marcando puntos con la misma pendiente, pero con 2 de ellos ya es suficiente como para poder graficar la recta.
  • 4. Teniendo ya los dos puntos, con regla se traza la recta que pasa por los mismos.
Ejemplo:
Graficar la siguiente función:
Monografias.com
La ordenada al origen (3) me indica que me debo parar sobre el eje y en el 3.

No hay comentarios:

Publicar un comentario